NavList:
A Community Devoted to the Preservation and Practice of Celestial Navigation and Other Methods of Traditional Wayfinding
Re: Fw: Chichester's Calculations ( Sine-Cosine method)
From: UNK
Date: 2008 Dec 21, 03:45 -0800
From: UNK
Date: 2008 Dec 21, 03:45 -0800
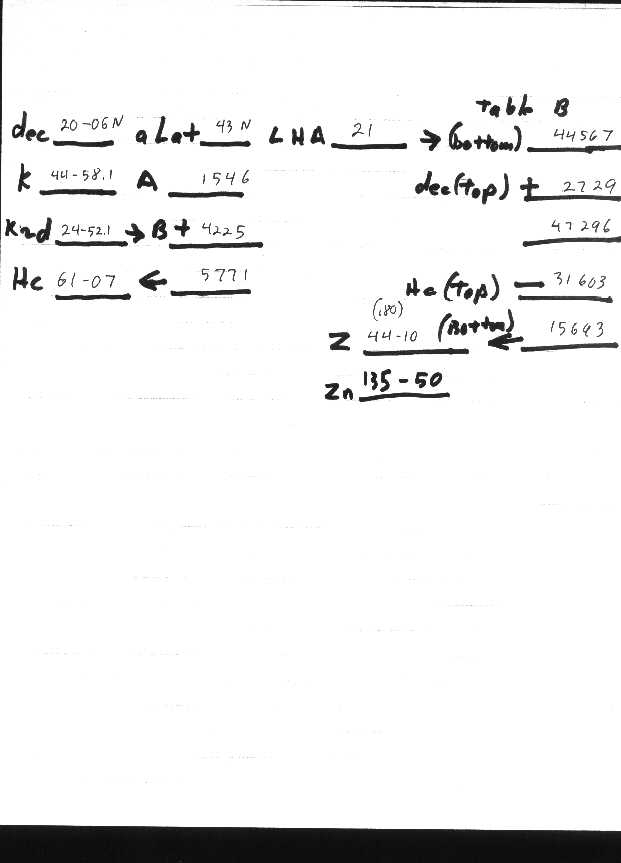
I don't know if anybody noticed the similarity in the two solutions using Dreisonstok (post 6744) and Weems' Line of Position Book (post 6745.) The computation of Hc using both methods involves the same values from the Log-Trig tables. While Dreisonstok tabulates a "K" value Weems tabulates a "b" value. Notice these are inverses of each other ( K = 90 - b) and (b = 90 - K). The intermediate values, "K~d" for Weems and "d + b" for Dreisonstok are also inverses of each other. The "A" columns in the first table in each volume are identical and the "B" column in the second table are inverses of each other. Both of these sets of tables use the same formulas for calculating Hc only rearranged slightly. I have attached this comparison. I also wrote that Weems had been my favorite but that I had switched to Dreisonstok because I didn't like the Rust diagram so much. Now that I have reviewed the method shown by Weems in his 1944 edition, "New Line of Position Tables," to compute the azimuth with trig I am switching back to his Line of Position Book as my favorite tabular method. This method can also be used with his original tables since Table B in each book is identical. Table B consists of log secants across the top and log cosecants across the bottom. Azimuth is computed with the formula cosecant Z = cosecant LHA times secant declination divided by secant Hc. Using logs this is solved as log cosecant LHA + log secant declination - log secant Hc.These values are taken from Table B. This computation requires four entries to Table B and one addition and one subtraction. Since computing Hc with Weems takes three table entries and two additions to also compute Z with Weems takes a total of seven table entries and four maths. This compares with Dreisonstok that only requires four table entries and four maths. Although Weems takes three more table entries this is compensated by the fact that Weems is only 54 pages compared to Dreisonstok's 108 pages, exactly twice as thick. I can also choose to use the Rust diagam in appropriate cases. I am attaching the pages of Weems to allow the computation of azimuth to go along with the illustration of finding Hc done in post 6745. gl Gary J. LaPook wrote: > I am attaching an example of the same computation done with Weems Line > Of Position Book which provides the shortest solution of all the tabular > methods. This requires only three entries to the tables to find Hc and > then the azimuth is found by Rust's diagram. The example requires only > two pages because two of the values are found on one page. See attached > files. > > gl > > > > > Gary J. LaPook wrote: > >> I also decided to work the problem using H.O. 208, Dreisonstok for >> comparison. This method requires four table entries taking out eight >> values and four additions. >> >> See attached example and H.O. 208 excerpts. >> >> gl >> >> Gary LaPook wrote: >> >> >>> I also decided to work Chichester's example using my Bygrave Slide Rule >>> since Chichester used one of these when he flew his Gypsy Moth airplane >>> from New Zealand to Australia in 1931. I came up with an Hc of 46º 26', >>> Az of 57º10' the same as Chichester got. I have attached this computation. >>> >>> gl >>> >>> >>> Gary J. LaPook wrote: >>> >>> >>> >>>> I decided to work the same example using the standard Sine- Cosine >>>> method to compare it to the Haversine-Cosine method. I discovered that >>>> it takes fewer table entries and additions than does the Haversine >>>> method so I do not know why that method became the prefered method, any >>>> ideas? >>>> >>>> I am posting and example of this computation. I am also attaching a PDF >>>> of it to ensure that the format doesn't become corrupted. >>>> >>>> The normal formulas for computing Hc and azimuth are: >>>> >>>> sin Hc = sin Lat sin Dec + cos Lat cos Dec cos LHA >>>> >>>> and >>>> >>>> sin Z = (sin LHA cos Dec)/ cos Hc >>>> >>>> rearranged to the more convenient >>>> sin Z = sin LHA cos Dec sec Hc >>>> >>>> These can be solved using logarithms using this format: >>>> >>>> >>>> >>>> >>>> >>>> >>> >>> >>> >>> >> >> >> > > > > > --~--~---------~--~----~------------~-------~--~----~ Navigation List archive: www.navlist.net To post, email NavList@navlist.net To , email NavList-@navlist.net -~----------~----~----~----~------~----~------~--~---






