NavList:
A Community Devoted to the Preservation and Practice of Celestial Navigation and Other Methods of Traditional Wayfinding
Lunar distances - short clearance methods
From: Henry Halboth
Date: 2004 Sep 3, 22:07 -0400
From: Henry Halboth
Date: 2004 Sep 3, 22:07 -0400
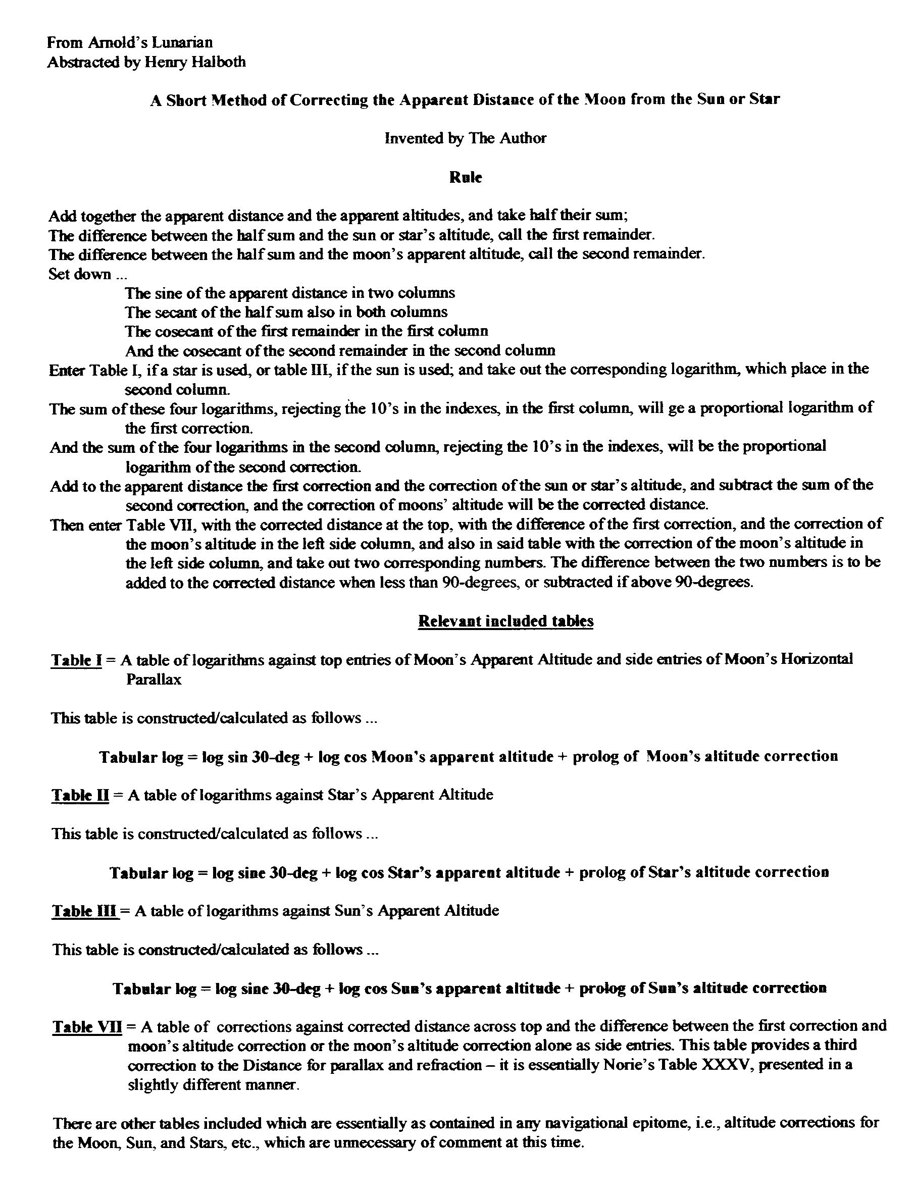
I have completed a preliminary review of the short Lunar Distance clearing method proposed by Thomas Arnold, which I shall henceforth entitle Arnold's Method, as contained in his "The American Practical Lunarian and Seaman's Guide", published at Philadelphia, PA, in 1822. An abstract is attached, providing the rules for working this method, as well as a description of the tables utilized by the author to facilitate the working thereof. Taken as a whole, Arnold's book is more descriptive of the Lunar Distance method than are either Bowditch or Norie, although the theory on which the actual solution is based remains rather secretive - it is unfortunate that this book seems rather rare and that the author has received little or no recognition for his apparently unique and perhaps purely American contribution to the art. According to himself, Arnold was an American Shipmaster of some 40-years experience at sea, including 28-years as Master. It is during this time that he claims to have developed the method presented, and claims also to have utilized it for 5-years at sea in manuscript prior to publication. He, by the way, states an expected accuracy in the use of Lunars of from 10 to 15 miles. At one point in time he operated a school of navigation at Philadelphia for the purpose of teaching the Lunar method. I have prepared a work format for Arnold's method and will shortly try it for accuracy and convenience against other methods, of which there are perhaps over a hundred, although few have actually been published.






