NavList:
A Community Devoted to the Preservation and Practice of Celestial Navigation and Other Methods of Traditional Wayfinding
From: Andrés Ruiz
Date: 2006 Jun 28, 08:53 +0200
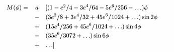
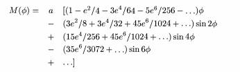
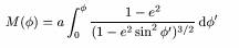
To calculate the Meridional parts, is necessary to
integrate the distance from the equator to the parallel of the given latitude, it
is a line integral along a meridian path:
The accuracy You want to obtain is base don when to
stop the mathematical expansion.
I use the approximation in Bowditch:
Fi = latitude
a =
21600.0/(2.0*PI);
f = 1.0/298.26;
eoe =
sqrt(2.0*f-SQ(f));
M1 = log(10)*log10(tan(
45.0+fi/2.0) );
M2 = SQ( eoe )*sin( fi );
M3 = pow( eoe, 4
)/3.0*pow( sin( fi ), 3);
M4 = pow( eoe, 6
)/5.0*pow( sin( fi ), 5);
M = a*(M1-M2-M3-M4)
This is for a oblate-Earth in WGS84, If a spherical-Earth
model is used, then the to axis are equal: a=b, and
Flattening: f=1-b/a=0
Eccentricity: eoe = 0
If someone is interested, at my web site, You can
found a table of MP and a graphic, and also a program that calculate the Loxodromic
or Rhumb Line
http://www.geocities.com/andresruizgonzalez
Andrés






