NavList:
A Community Devoted to the Preservation and Practice of Celestial Navigation and Other Methods of Traditional Wayfinding
From: Robin Stuart
Date: 2010 Mar 14, 09:48 -0700
John,
You note that "even the constraint on the coordinates of stars to be capable of being at the same azimuth is a little demanding". It occurs to me that the notion of the GC pole also conveniently allows one to answer the question "Just how demanding is it?". For a given observer if the GC pole can rise/set the stars can be seen at the same azimuth. For an observer at the equator it will happen at some time or other for any pair of stars and for an observer at the North or South Pole it will only happen if the stars have the same R.A. In general it can only occur when the fictitious star at GC pole is not circumpolar.
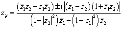
Putting aside the usefulness or otherwise of Lord Ellenborough's method today I wondered how one goes about calculating the coordinates of the GC pole given the R.A.s and declinations of the 2 stars. This is fairly simple to do by going to 3D, as is favoured by Andres Ruiz, and using the vector cross product. It can also be done using methods complex analysis from results in section 4.2 of my paper attached to Andres' post http://www.navlist.net?i=110279&y=200910 . Although it does not appear in the paper the results can be combined obtain the position of the pole directly (see attached file). Finding the GC pole using classical spherical trigonometry seems to be quite a bit tougher. Can anyone enlighten me has to how it would have been done in practice?
Robin Stuart
----------------------------------------------------------------
NavList message boards and member settings: www.navlist.net/NavList
Members may optionally receive posts by email.
To cancel email delivery, send a message to NoMail[at]navlist.net
----------------------------------------------------------------






