NavList:
A Community Devoted to the Preservation and Practice of Celestial Navigation and Other Methods of Traditional Wayfinding
A celestial navigation problem
From: Stan K
Date: 2011 Nov 16, 21:44 -0500
From: Stan K
Date: 2011 Nov 16, 21:44 -0500
I have been teaching the Power Squadrons Navigation and Junior Navigation courses for quite a while now, but I started teaching the "new" Junior Navigation course for the first time in September. The course is quite a bit watered down compared to the "old" course, with the sun being the only body of interest. In the past I created or borrowed what I call SuperNavigator problems for the students, generally a bit beyond the scope of the material, but requiring the students to do some thinking rather than just plugging in numbers.
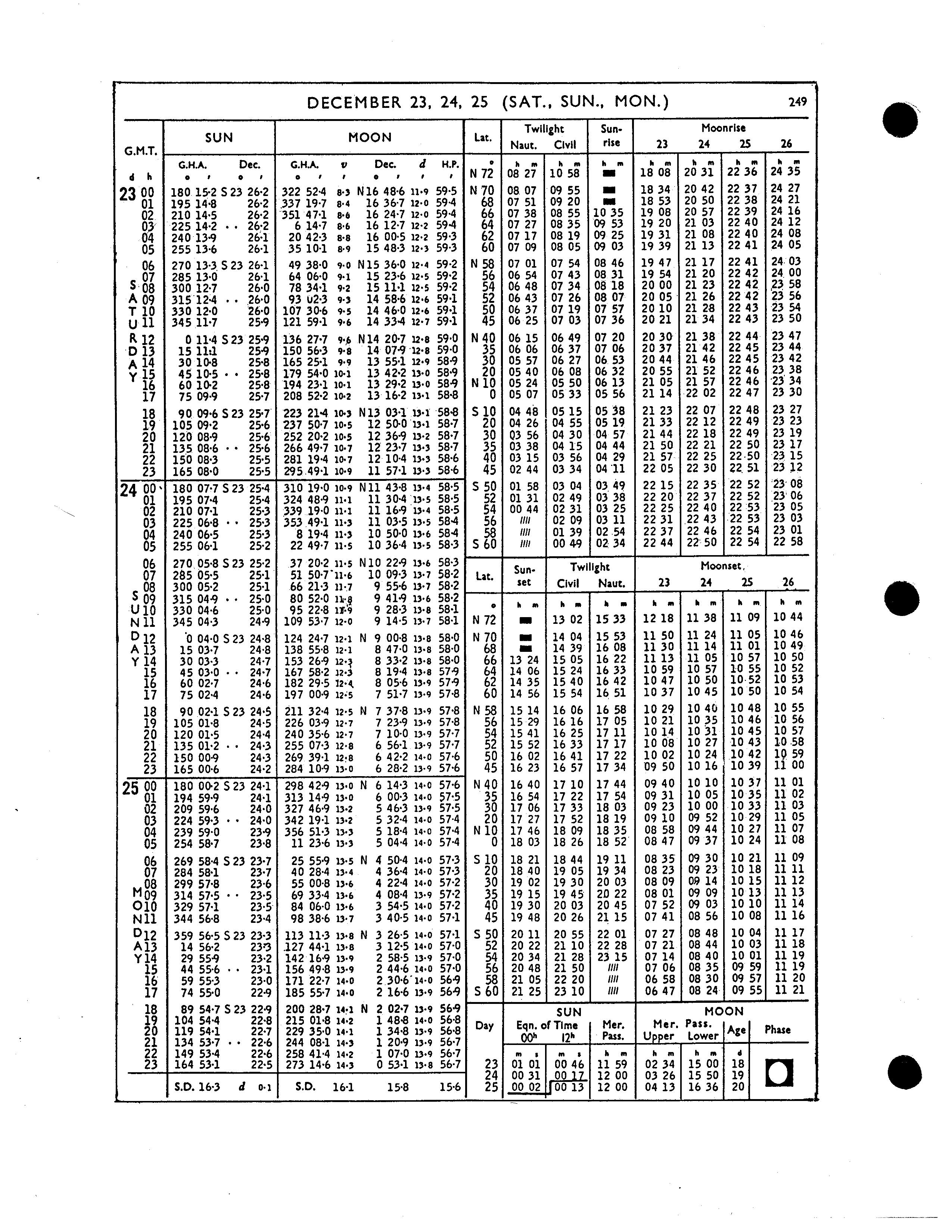
Due to the limited amount of material in the new course, I think I was able to incorporate all aspects of celestial navigation included in the course into one SuperNavigator problem, which I have attached, along with the one page of the 1972 Nautical Almanac required. I have not included my solution, for fear of making a fool of myself
. I would appreciate it if you would take a look at it and tell me if you think it makes sense and is reasonable. I think the intermediate answers require the students to prove they have a real understanding of the material more than the final answer does, but I would like to know what you think.
Thanks for your support.
Stan
Due to the limited amount of material in the new course, I think I was able to incorporate all aspects of celestial navigation included in the course into one SuperNavigator problem, which I have attached, along with the one page of the 1972 Nautical Almanac required. I have not included my solution, for fear of making a fool of myself
Thanks for your support.
Stan






